Kargul z Pawlakiem w jednym stali domku…
Kargul z Pawlakiem się pogodzili i w ramach oszczędności postanowili wspólnie wybudować kwadratowy domek pomiędzy swoimi włościami.
Włośta som okrongłe i majom po dwadzieścia morgów na żagę.
JAK DUŻY BĘDZIE DOMEK KARGULA I PAWLAKA ???
2 polubienia
okonek
1 Grudzień 2025 21:57
2
Domek.na kwadratowym.fundamencie?
Domek kwadratowy, a jaki fundament, to Kargule same nie wiedzą.
okonek
1 Grudzień 2025 22:21
4
Ze schronem przeciwatomowym i piwniczka na samogon.
Projekt Polska 2040.
okonek:
samogon
Kargule nie wiedzą, czy ten ogon jest sam, ale wiedzą, że samotność ogona nie ma wpływu na gabaryty domku.
okonek
1 Grudzień 2025 22:28
6
Ogon zawsze jest sam.. cielę moze miec dwie głowy? Ale dwa ogony?
Nie sprawdzałem, czy dobrze wyszło. Będzie kolega tak miły i sprawdzi?
2 polubienia
okonek
1 Grudzień 2025 22:39
8
A nie prosciej wziac cyrkiel i linijkę?
I policzyc analogowo?
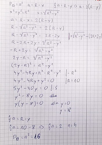
Polokrag o promieniu 10 wyznaczy dwa wierzcholki kwadratu ;).
Zmierzyc odległość?
Bardzo dobrze, ale mało. Tzn. domek mały
Architekt zaproponował Kargulom domek okrągły.
JAKĄ POWIERZCHNIĘ BEDZIE MIAŁ OKRĄGŁY DOMEK ???
1 polubienie
Nie masz litości, nie masz …
Ja sobie to jutro zrobię a tym razem niech koleżanka użyje cyrkla i linijki…
Ciekawe, czy będzie prościej
1 polubienie
Ja sam nie wiem, jak Ona chce to zrobić, ale byc może użyje znanej już metody na okonka
1 polubienie
Za kobietami nie trafisz … Nawet nie próbuj
To nie ja. To architekt tak wymyślił.
1 polubienie
Nawet kawałka TORTU URODZINOWEGO nie spróbowałeś.
Spróbowałem, ale dałem szansę innym. Proste było. Chciałem znaleźć wzór na ciąg, ale nie zdążyłem, “szedłem” na piechotę.
2 polubienia
Półokrąg o promieniu 10 wyprowadzony z punktu styku okręgów nie wyznaczy wierzchołków tego kwadratu.
okonek
2 Grudzień 2025 05:41
17
Jak zaczniesz dawac zagadki rano to może w koncu jakis kajecik i dlugopis zorganizuję.
A po co rysować, jak coś jest już narysowane …?
1 polubienie
Moderatorowni role się pokiełbasiły.
To zagadkodawca stawia warunki, a zagadkobiorca się dopasowywuje się.
Pomiary wykazały jednoznacznie, że jeśli koła o promieniu 10 mają średnicę 80, to bok umieszczonego między nimi kwadratu będzie miał długość 15.
No nie chce wyjść inaczej jakkolowiek byś mierzył
1 polubienie